◆ 抗生物質分子データ集 ◆
=「もう抗生物質では治らない」(NHK出版)を読むために =

抗生物質データ集メニュー抗生物質リストPDF版) | 抗生物質を含むPDBデータ
※分子名の表だけ表示され,フレーム形式になっていない場合はこちらをクリックしてください。

Jmol版

●引用文献:マイケル・シュナイアソン,マーク・プロトキン 著,栗木さつき 訳,「もう抗生物質では治らない 猛威をふるう薬剤耐性菌」,NHK出版(2003)


抗生物質およびその補助剤など(50音順) ─ 初期表示はペニシリン G ─
〔〕:抗生物質以外の化合物 <>:商品名(抗生物質関連) :商品名(抗生物質以外) :上記文献に記載のない抗生物質
※以下のデータは上記文献初版第1刷をもとにしており,抗生物質の認可状況等が現在では異なっている場合があります。
※英名の( )は同名で複数の薬剤がある場合,分子データ集で取り上げているものを特定するものです。
※アルベカシン,ストレプトマイシン,トブラマイシン,リンコマイシンは,3DPSD収載データを初期座標にさせていただきました。
※以下の内容でお気付きの点は本間までご連絡をお願いします(最終修正:2004/03/02)。

※clarithromycinほか新データ追加(欄) [UPDATE!]
過去の更新履歴
名称 英名 化学式 CAS番号 系列・その他
アジスロマイシン azithromycin C38H72N2O12 83905-01-5 マクロライド系
アボパルシン (α-)avoparcin C89H102ClN9O36 37332-99-3 グリコペプチド系 ※動物用,現在指定取消し
アモキシシリン amoxicillin C16H19N3O5S 61336-70-7 ペニシリン系
アルベカシン arbekacin C22H44N6O10 51025-85-5 アミノグリコシド系
アンピシリン ampicillin C16H19N3O4S 69-53-4 ペニシリン系
〔イソニアジド〕 isoniazid C6H7N3O   ※抗結核薬(イソニアジド系)
イミペネム imipenem C12H17N3O4S 64221-86-9 カルバペネム系
〔エタンブトール〕 ethambutol C10H24N2O2 74-55-5 ※抗結核薬
エペレゾリド eperezolid C18H23FN4O5   オキサゾリジノン系
エリスロマイシン erythromycin C37H67NO13 114-07-8 マクロライド系
エンロフロキサシン enrofloxacin C19H22FN3O3 93106-60-6 ニューキノロン系
オキサシリン oxacillin C19H19N3O5S 66-79-5 ペニシリン系
オキシテトラサイクリン oxytetracycline C22H24N2O9 79-57-2 テトラサイクリン系
オフロキサシン ofloxacin C18H20FN3O4 83380-47-6 ニューキノロン系
オーレオマイシン aureomycin C22H23ClN2O8 57-62-5 テトラサイクリン系
カスガマイシン kasugamycin C14H25N3O9 6980-18-3 アミノグリコシド系(農業用)
ガチフロキサシン gatifloxacin C19H22FN3O4   ニューキノロン系 厚生労働省安全性情報(2003/03/07)参照
カナマイシン kanamycin(A) C18H36N4O11 8063-07-8 アミノグリコシド系
〔キニーネ〕 quinine C20H24N2O2 130-95-0 ※マラリア特効薬,解熱・鎮痛薬
キヌプリスチン quinupristin C53H67N9O10S 120138-50-3 ストレプトグラミン系(<シナシッド>の1成分)
クラリスロマイシン clarithromycin C38H69NO13 81103-11-9 マクロライド系
クリンダマイシン clindamycin C18H33ClN2O5S 18323-44-9 リンコマイシン系
クロラムフェニコール chloramphenicol C11H12Cl2N2O5 56-75-7 クロラムフェニコール系
クロルテトラサイクリン chlortetracycline C22H23ClN2O8 57-62-5 テトラサイクリン系
クロロマイセチン chloromycetin C11H12Cl2N2O5 56-75-7 クロラムフェニコール系
ゲンタマイシン gentamicin C21H43N5O7 1403-66-3 アミノグリコシド系
<サイデシン> Cidecin C72H101N17O26 103060-53-3 リポペプチド系(ダプトマイシン,daptomycin)
<ザイボックス> Zyvox C16H20FN3O4   オキサゾリジノン系(リネゾリド,linezolid )
サラフロキサシン sarafloxacin C20H17F2N3O3 98105-99-8 ニューキノロン系
<サラフロックス> SaraFlox C20H17F2N3O4 98105-99-8 ニューキノロン系(サラフロキサシン,sarafloxacin)
サリノマイシン salinomycin C42H70O11 53003-10-4 ポリエーテル系(動物用;抗コクシジウム剤)
<ジスロマック> Zithromax C38H72N2O12 83905-01-5 マクロライド系(アジスロマイシン,azithromycin)
シプロフロキサシン ciprofloxacin C17H18FN3O3 85721-33-1 ニューキノロン系
<シプロ> Cipro C17H18FN3O3 85721-33-1 ニューキノロン系(シプロフロキサシン,ciprofloxacin)
〔スクアラミン〕 squalamine C34H67N3O5S 148717-90-2 ※ザスロフ(米)によって研究されたステロイド
ストレプトグラミン streptogramin A C28H35N3O7 11006-76-1 ストレプトグラミン系(動物用;バージニアマイシン M1,プリスチナマイシンと同じ)
ストレプトマイシン streptomycin C21H39N7O12 57-92-1 アミノグリコシド系
スピラマイシン spiramycin(I) C43H74N2O14 8025-81-8 マクロライド系
スペクチノマイシン spectinomycin C14H24N2O7 1695-77-8 アミノグリコシド系
スルバクタム sulbactam C8H11NO5S 68373-14-8 β-ラクタム系
〔スルファメトキサゾール〕 sulfamethoxazole C10H11N3O3S 723-46-6 ※サルファ剤
〔スルファメチアジン〕 sulfamethiazine C12H14N4O2S 57-68-1 ※サルファ剤(スルファメサジン)
〔スルホンアミド〕 sulfonamide C6H8N2O2S 63-74-1 ※サルファ剤
セファゾリン cefazolin C14H14N8O4S3 25953-19-9 セフェム系
セファロスポリン C cephalosporin C C16H21N3O8S 61-24-5 セフェム系
セファロスポリン N cephalosporin N C14H21N3O6S 525-94-0 セフェム系
セファロスポリン P1 cephalosporin P1 C33H50O8   セフェム系
セフェピム cefepime C19H24N6O5S2 88040-23-7 セフェム系
セフタジジム ceftazidime C23H23N5O7S2 72558-82-8 セフェム系
セフトリアキソン ceftriaxone C18H18N8O7S3 73384-59-5 セフェム系(セフトリアゾンの別訳)
セフトリアゾン ceftriaxone C18H18N8O7S3 73384-59-5 セフェム系(セフトリアキソンの別訳)
〔<タイノール>〕 Tylenol C8H9NO2 103-90-2 ※解熱鎮痛薬(タイレノールの異訳?)
タゾバクタム tazobactam C10H12N4O5S 89786-04-9 β-ラクタム系
ダプトマイシン daptomycin C72H101N17O26 103060-53-3 リポペプチド系
ダルホプリスチン dalfopristin C35H51N3O9S 112362-50-2 ストレプトグラミン系(<シナシッド>の1成分)
チロシン(タイロシン) tylosin C46H77NO17 1401-69-0 マクロライド系(動物用)
テイコプラニン teicoplanin (A2-3) C88H97Cl2N9O33 61036-64-4 グリコペプチド系
テトラサイクリン tetracycline C22H24N2O8 60-54-8 テトラサイクリン系
テラバンシン telavancin C80H106Cl2N11O27P 372151-71-8 脂質化グリコペプチド系
テリスロマイシン telithromycin C43H65N5O10   ケトライド系 ※商品名ケテックなど(おくすり110番情報参照)
ドキシサイクリン doxycycline C22H24N2O8 564-25-0 テトラサイクリン系
トブラマイシン tobramycin C18H37N5O9 32986-56-4 アミノグリコシド系
トリメトプリム trimethoprim C14H18N4O3 738-70-5 ※スルファメトキサゾールと併用で抗菌作用(ST合剤)
<トロバン> Trovan C20H15F3N4O3   ニューキノロン系(トロバフロキサシン,trovafloxacin)
ナフシリン nafcillin C21H22N2O5S 147-52-4 β-ラクタム系(ペニシリン系)
ナリジクス酸 nalidixic acid C12H12N2O3 389-08-2 キノロン系
ネオマイシン neomycin (B) C23H46N6O13 119-04-0 アミノグリコシド系
<バイトリル> Baytril C19H22FN3O3 93106-60-6 ニューキノロン系(エンロフロキサシン,enrofloxacin)
<バクトロバン> Bactroban C26H44O9 12650-69-0 …MRSA除菌薬ムピロシン(mupirocin)
バシトラシン bacitracin C63H98N14O14S 1405-87-4 ポリペプチド系
バージニアマイシン virginiamycin (M1 C28H35N3O7 11006-76-1 ストレプトグラミン系(動物用;ストレプトグラミン A,プリスチナマイシンと同じ)
パニペネム panipenem C15H21N3O4S 87726-17-8 カルバペネム系
バンコマイシン vancomycin C66H75Cl2N9O24 1404-90-6 グリコペプチド系
ピペラシリン piperacillin C23H27N5O7S 61477-96-1 β-ラクタム系(ペニシリン系)
〔ピラジナミド〕 pyrazinamide C5H5N3O 98-96-4 ※抗結核剤
フォストリエシン fostriecin C19H27O9P   抗腫瘍性抗生物質
プラテンシマイシン platensimycin C24H27NO7   新規抗生物質候補
プリスチナマイシン pristinamycin C28H35N3O7 11006-76-1 ストレプトグラミン系(動物用;ストレプトグラミン A,バージニアマイシン M1と同じ)
ペニシリン penicillin (G) C16H18N2O4S 61-33-6 β-ラクタム系(ペニシリン系)
ポリミキシン polymyxin (B2 C55H96N16O13 1406-11-7 ポリペプチド系
ミノサイクリン minocycline C23H27N3O7 10118-90-8 テトラサイクリン系
メチシリン methicillin C17H20N2O6S 61-32-5 β-ラクタム系(ペニシリン系)
メロペネム meropenem C17H25N3O5S 96036-03-2 カルバペネム系
〔<モトリン>〕 Motrin C13H18O2 15687-27-1 ※プロピオン酸系抗炎症剤(イブプロフェン,ibuprofen)
リネゾリド linezolid C16H20FN3O4   オキサゾリジノン系
〔リファンピン〕 rifampin C43H58N4O12 13292-46-1 =リファンピシン ※抗結核剤(RNA合成阻害)
リベロマイシンA reveromycin A C36H52O11 134615-37-5 ポリケチド化合物
レボフロキサシン levofloxacin C18H20FN3O4 100986-85-4 ニューキノロン系
リンコマイシン lincomycin C18H34N2O6S 154-21-2 リンコマイシン系

* ニューキノロン系=フルオロキノロン系
* セフェム系の一部はセファロスポリン系として分類される時がある。
* サルファ剤はスルホンアミド系抗菌剤に含まれる。


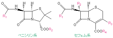
抗生物質の骨格構造
 ★以下のデータはポテンシャル表示不可
ペニシリン系 骨格構造球棒表示 ペニシリン G | メチシリン | オキサシリン
セフェム系 骨格構造球棒表示 セファロスポリン C | セファゾリン | セフトリアキソン


「生活環境化学の部屋」ホームページ「分子の形と性質」学習帳